Meta PixelAnnual Audit Report 2024 — Province of Negros Oriental — Page 35

Page 35 of 161

Page 35
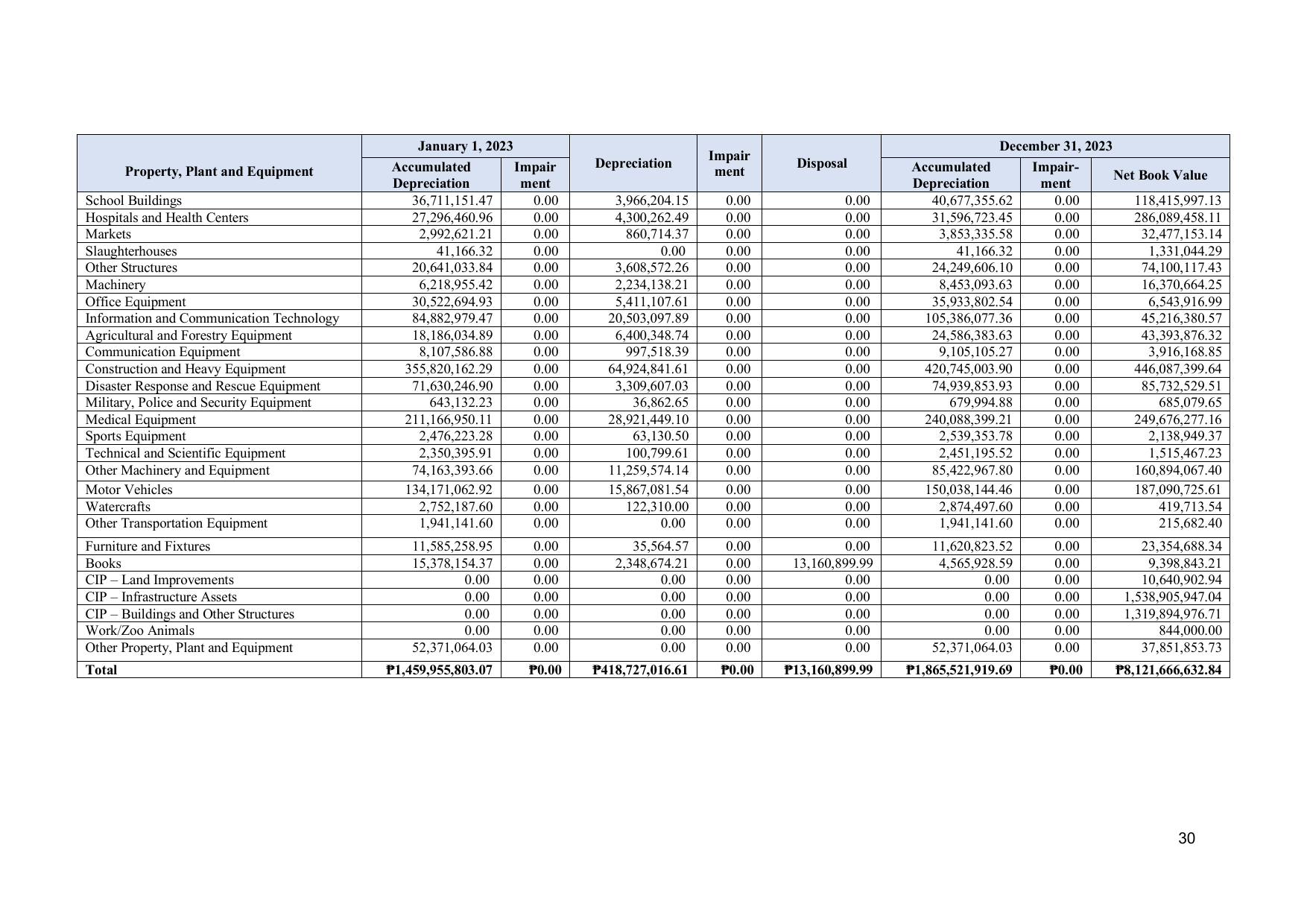
                                               January 1, 2023                                                                    December 31, 2023
                                                                                          Impair
                                           Accumulated         Impair   Depreciation                Disposal        Accumulated       Impair-
        Property, Plant and Equipment                                                      ment                                                     Net Book Value
                                           Depreciation         ment                                                Depreciation       ment
School Buildings                              36,711,151.47      0.00      3,966,204.15     0.00            0.00       40,677,355.62     0.00          118,415,997.13
Hospitals and Health Centers                  27,296,460.96      0.00      4,300,262.49     0.00            0.00       31,596,723.45     0.00          286,089,458.11
Markets                                        2,992,621.21      0.00        860,714.37     0.00            0.00        3,853,335.58     0.00           32,477,153.14
Slaughterhouses                                   41,166.32      0.00             0.00      0.00            0.00           41,166.32     0.00            1,331,044.29
Other Structures                              20,641,033.84      0.00      3,608,572.26     0.00            0.00       24,249,606.10     0.00           74,100,117.43
Machinery                                      6,218,955.42      0.00      2,234,138.21     0.00            0.00        8,453,093.63     0.00           16,370,664.25
Office Equipment                              30,522,694.93      0.00      5,411,107.61     0.00            0.00       35,933,802.54     0.00            6,543,916.99
Information and Communication Technology      84,882,979.47      0.00     20,503,097.89     0.00            0.00      105,386,077.36     0.00           45,216,380.57
Agricultural and Forestry Equipment           18,186,034.89      0.00      6,400,348.74     0.00            0.00       24,586,383.63     0.00           43,393,876.32
Communication Equipment                        8,107,586.88      0.00        997,518.39     0.00            0.00        9,105,105.27     0.00            3,916,168.85
Construction and Heavy Equipment             355,820,162.29      0.00     64,924,841.61     0.00            0.00      420,745,003.90     0.00          446,087,399.64
Disaster Response and Rescue Equipment        71,630,246.90      0.00      3,309,607.03     0.00            0.00       74,939,853.93     0.00           85,732,529.51
Military, Police and Security Equipment          643,132.23      0.00         36,862.65     0.00            0.00          679,994.88     0.00              685,079.65
Medical Equipment                            211,166,950.11      0.00     28,921,449.10     0.00            0.00      240,088,399.21     0.00          249,676,277.16
Sports Equipment                               2,476,223.28      0.00         63,130.50     0.00            0.00        2,539,353.78     0.00            2,138,949.37
Technical and Scientific Equipment             2,350,395.91      0.00        100,799.61     0.00            0.00        2,451,195.52     0.00            1,515,467.23
Other Machinery and Equipment                 74,163,393.66      0.00     11,259,574.14     0.00            0.00       85,422,967.80     0.00          160,894,067.40
Motor Vehicles                               134,171,062.92      0.00     15,867,081.54     0.00            0.00      150,038,144.46     0.00          187,090,725.61
Watercrafts                                    2,752,187.60      0.00        122,310.00     0.00            0.00        2,874,497.60     0.00              419,713.54
Other Transportation Equipment                 1,941,141.60      0.00             0.00      0.00            0.00        1,941,141.60     0.00              215,682.40
Furniture and Fixtures                         11,585,258.95     0.00         35,564.57     0.00            0.00        11,620,823.52     0.00          23,354,688.34
Books                                          15,378,154.37     0.00      2,348,674.21     0.00    13,160,899.99        4,565,928.59     0.00           9,398,843.21
CIP – Land Improvements                                0.00      0.00             0.00      0.00            0.00                0.00      0.00          10,640,902.94
CIP – Infrastructure Assets                            0.00      0.00             0.00      0.00            0.00                0.00      0.00       1,538,905,947.04
CIP – Buildings and Other Structures                   0.00      0.00             0.00      0.00            0.00                0.00      0.00       1,319,894,976.71
Work/Zoo Animals                                       0.00      0.00             0.00      0.00            0.00                0.00      0.00             844,000.00
Other Property, Plant and Equipment            52,371,064.03     0.00             0.00      0.00            0.00        52,371,064.03     0.00          37,851,853.73
Total                                      ₱1,459,955,803.07    ₱0.00   ₱418,727,016.61    ₱0.00   ₱13,160,899.99   ₱1,865,521,919.69    ₱0.00      ₱8,121,666,632.84




                                                                                                                                                              30